- 歡迎訪問安徽自考服務網!本站為考生提供安徽自考信息服務,網站信息供學習交流使用,非政府官方網站,官方信息以安徽教育考試院http://www.ahzsks.cn/為準。
安徽自考生可以開始準備2023年4月的自考報名了。安徽自考網為廣大安徽自考生整理了2023年安徽自考報名時間與流程,供考生參考,若有自考問題,可以掃描下方二維碼進入微信群咨詢。

一、2023年4月安徽滁州自考報名時間:預計2023年3月初
二、2023年4月安徽滁州自考報名入口:安徽省高等教育自學考試考生服務平(http://zk.ahzsks.cn/)
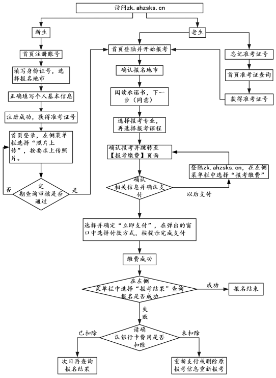
三、新生報考注意事項
(一)新生(指首次報考考生)報名時,要仔細核對姓名、性別、身份證號碼、聯系電話等個人信息,確保所填信息準確無誤后提交。
(二)如有重復性扣款或已繳費且報名未成功的情況,我院會在報名結束后一個月左右集中處理退款。
(三)第一次參加自考的新生,可通過網上直接上傳照片,具體方法是:新生登錄報名首頁注冊后,獲取準考證號,用準考證號登錄系統,完成支付報名成功后,點擊左側菜單欄的“照片上傳”,按要求上傳規定格式的照片。
四、自考報名流程圖

安徽自考助學報名預約
我已閱讀并同意《用戶隱私條款》
加入安徽自考公眾號
安徽自考網微信公眾號
(掃一掃加入)
加入安徽自考交流群
掃一掃加入微信交流群
與考生自由互動、并且能直接與資深老師進行交流、解答。


